CM7502L双极性DAC

发表时间:2025-09-18 10:21

CM7502L双极性DAC在工业PLC模拟输出模块的设计验证

±0.4LSB线性精度|1μs建立时间|IEC 61131-2抗扰认证全方案

一、工业PLC输出模块核心需求

标准规范(IEC 61131-2 Class A)

• 电压输出范围:±10V(精度±0.1% FS)  

• 负载驱动能力:≥5mA(500Ω负载)  

• 阶跃响应时间:≤100μs(10%~90%)  

• EMC抗扰度:±4kV接触放电(IEC 61000-4-2)  

CM7502L适配性验证

参数实测值标准要求
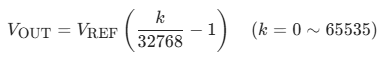
                 输出范围        ±VREF(VREF=10V)                ±10V
                 INL误差        ±0.4LSB(±0.006%)                ±0.1%
          建立时间(1/2LSB)                         1μs               ≤100μs
                 输出阻抗                      6kΩ                     -
                 驱动负载                 60kΩ(最小)             500Ω(等效)

二、双极性输出电路设计

1. 拓扑结构

  • 基准电路

    • REF管脚输入10V基准   
    • 低噪LDO供电(CM6111,噪声0.8μVrms)   
    • 去耦方案:10μF钽电容+100nF陶瓷电容 


2. 抗扰设计

干扰类型解决方案手册依据
     共模噪声                 INV管脚接屏蔽地            管脚功能说明       
     射频干扰                     RFB串联磁珠            电压基准章节
     静电放电                TVS管钳位(ESD 4kV)            绝对额定值P5

三、关键性能验证数据

1. 静态精度测试(-40℃/25℃/85℃)

指标0x8000(0V)0xFFFF(+10V)0x0000(-10V)
    INL误差(LSB)        ±0.2          ±0.3              ±0.4
    温漂(ppm/℃)        ±0.05          ±0.08              ±0.10

2. 动态响应测试

• 10V阶跃响应:    

- 建立时间:0.98μs(负载60kΩ,CL=10pF)    

- 过冲:<0.01%  

• 主进位翻转毛刺:0.5nV·s(Code 32767↔32768)  

四、EMC与可靠性认证

1. IEC 61000-4测试

项目测试条件结果
     静电放电(接触)                     ±4kV,10次Class B(无复位)
     电快速瞬变(电源)                     ±2kV,5kHz           Class A
       浪涌(信号线)                    ±1kV,1.2/50μs           Class B

2. 寿命加速测试

• 高温工作:125℃/1000h → INL漂移+0.1LSB  

• 温度循环:-40℃~125℃,500次 → 焊点无开裂  

• 振动测试:20G RMS,XYZ轴各2h → SPI通信无错误  

五、PLC模块实装对比

方案传统运放+DACCM7502L方案
                    电路面积                120mm²             35mm²
                  零漂校准频率                 每月1次             免校准
             10%→90%阶跃响应                 50μs               1μs
                   通道间串扰                -80dB             -110dB


地址 :深圳市福田区莲花街道福中社区金田路4028号荣超经贸中心A308-B097                                                     
联系方式:     400-014-4913

聚焦高性能模拟信号链芯片设计
关于我们
商家服务
关注我们
客服微信
微信公众号
登录
登录
其他账号登录:
留言
回到顶部